
Mitsubishi Outlander 2.2 150km Tuning
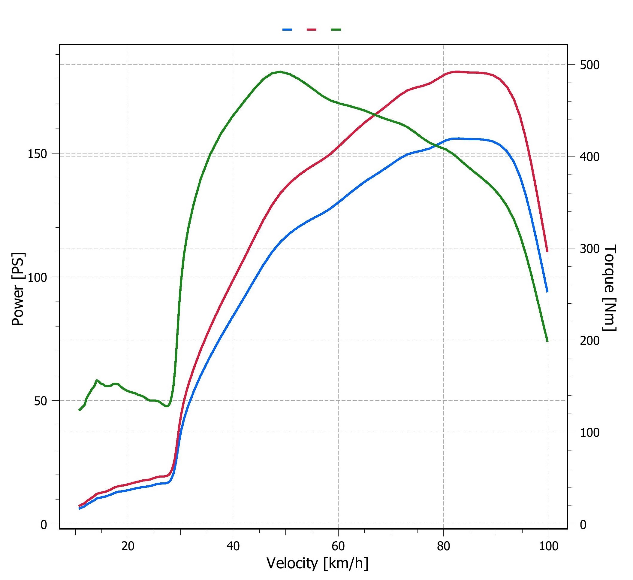
Zabiegowi podniesienia mocy poddaliśmy praktycznie nowe Mitsubishi Outlander 2.2 150km z 2016 roku. Samochód z przebiegiem 10 tys km. Niestety fabrycznie samochód bardzo słaby. Moc 150km i 400nm przy samochodzie takich gabarytów to niewiele. Po modyfikacji 183km i 492nm. Lekki, bezpieczny modzik. Bez nadmiernych pyłów i temperatury dla filtra cząstek stałych DPF. Modyfikacja w całości odwracalna, po złączu OBD. Możliwość przywrócenia stanu fabrycznego (auta z gwarancją).



